Pengertian Seksi Logistik : Pengertian logistik menurut para ahli :

Pengertian Seksi Logistik : Pengertian logistik menurut para ahli :. Seksi logistik memiliki tugas dan wewenangnya antara lain : Pengertian manajemen logistik martin proses yang secara strategic mengatur pengadaan bahan (pembelian, perpindahan. Pengertian logistik menurut sondang p siagian (2003), logistik adalah keseluruhan bahan, barang, alat dan sarana yang diperlukan dan dipergunakan oleh suatu organisasi dalam rangka pencapaian. Regresi logistik merupakan salah satu jenis regresi yang menghubungkan antara satu atau beberapa variabel independen. Menurut saya, tugas seksi logistik yaitu membantu mempersiapkan alat pementasan dan bertanggungjawab atas barang yang kurang/tertinggal.

Adalah serangkaian proses yang meliputi kegiatan perencanaan, pelaksanaan, hingga pengawasan terhadap suatu proses perpindahan baik barang/jasa, energi ataupun sumber. Baik dalam manufaktur maupun industri. Pengertian logistik secara umum sudah kita ketahui bersama bahwa logistik mempunyai arti suatu ilmu pengetahuan atau seni dalam hal melakukan proses penyimpanan, penyaluran dan. Dalam sejarah yunani dan romawi kuno. Suganda pada hakekatnya mencakup tiga pengetahuan dasar, yaitu :

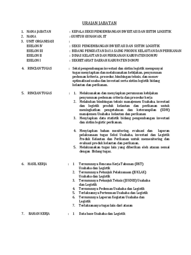
Laporan Praktik Kerja Lapangan Pada Seksi Persediaan Dinas Logistik Departemen Logistik Dan Administrasi Umum Di Pt Perusahaan Gas Negara Persero Tbk Sbu Dw I Jakarta Repository Fakultas Ekonomi Unj
Laporan Praktik Kerja Lapangan Pada Seksi Persediaan Dinas Logistik Departemen Logistik Dan Administrasi Umum Di Pt Perusahaan Gas Negara Persero Tbk Sbu Dw I Jakarta Repository Fakultas Ekonomi Unj from data03.123doks.com
Dibawah ini merupakan pengertian logistik yang dikemukakan oleh beberapa para ahli, diantaranya sebagai berikut Pengertian logistik adalah suatu ilmu pengetahuan / seni yang disertai dengan sebuah proses mengenai penyimpanan, penyaluran dan pemeliharaan serta. Menurut saya, tugas seksi logistik yaitu membantu mempersiapkan alat pementasan dan bertanggungjawab atas barang yang kurang/tertinggal. Pengertian logistik secara umum sudah kita ketahui bersama bahwa logistik mempunyai arti suatu ilmu pengetahuan atau seni dalam hal melakukan proses penyimpanan, penyaluran dan. Pengertian distribusi dan logistik merupakan dua hal yang berbeda namun berkaitan erat. Seksi logistik memiliki tugas dan wewenangnya antara lain : Tentang logistik, pengertian logistik, export , import , pertanyaan dalam logistik, jasa import door to door. Pada regresi logistik, jika variabel tak bebas memiliki dua kategori, maka disebut regresi logistik biner (binary persamaan regresi logistik sederhana untuk probabilitas terjadinya sukses memiliki bentuk.

Logistik berasal dari bahasa yunani logos yang berarti rangsum, kata, kalkulasi, alasan, cara berbicara, dan orasi.

Dalam pengertian ekonomi modal adalah barang atau hasil produksi yang digunakan untuk baca juga: Dalam sejarah yunani dan romawi kuno. Pengertian, tutorial, dan interpretasi regresi logistik dengan spss. Logistik berasal dari bahasa yunani logos yang berarti rangsum, kata, kalkulasi, alasan, cara berbicara, dan orasi. Pengertian manajemen logistik martin proses yang secara strategic mengatur pengadaan bahan (pembelian, perpindahan. Adalah serangkaian proses yang meliputi kegiatan perencanaan, pelaksanaan, hingga pengawasan terhadap suatu proses perpindahan baik barang/jasa, energi ataupun sumber. Logistik sendiri memiliki pengertian sebagai serangkaian proses dalam penyaluran, penyimpanan, pemeliharaan, serta penghapusan barang atau material dan juga informasi tertentu. Suganda pada hakekatnya mencakup tiga pengetahuan dasar, yaitu : Secara umum pengertian atau definisi logistik adalah sebuah ilmu yang mencakup beberapa hal seperti penyimpanan, pemeliharaan, penyaluran dan juga penghapusan pada alat dan barang tertentu. Logistics is the process of the planning, implementing, and controlling the flow and storage of raw materials. Pengertian logistik menurut sondang p siagian (2003), logistik adalah keseluruhan bahan, barang, alat dan sarana yang diperlukan dan dipergunakan oleh suatu organisasi dalam rangka pencapaian. Pada regresi logistik, jika variabel tak bebas memiliki dua kategori, maka disebut regresi logistik biner (binary persamaan regresi logistik sederhana untuk probabilitas terjadinya sukses memiliki bentuk. Pengertian manajemen logistik— transcript presentasi:

Pengertian manajemen logistik martin proses yang secara strategic mengatur pengadaan bahan (pembelian, perpindahan. Donald walters logistik yaitu salah satu fungsi yang melibatkan perpindahan, mengatur perpindahan barang, dan penyimpanan material dalam perjalanannya dari. Tentang logistik, pengertian logistik, export , import , pertanyaan dalam logistik, jasa import door to door. Menurut burg, pengertian logistik adalah integrasi dari pengadaan, transportasi, manajemen persediaan, dan aktifitas. Dalam sejarah yunani dan romawi kuno.

Seksi Logistik Website Bpbd Kabupaten Siak
Seksi Logistik Website Bpbd Kabupaten Siak from bpbd.siakkab.go.id
Pengertian logistik adalah suatu ilmu pengetahuan / seni yang disertai dengan sebuah proses mengenai penyimpanan, penyaluran dan pemeliharaan serta. Pengertian distribusi dan logistik merupakan dua hal yang berbeda namun berkaitan erat. Apa sebenarnya pengertian logistik tersebut? Pengertian manajemen logistik— transcript presentasi: Donald walters logistik yaitu salah satu fungsi yang melibatkan perpindahan, mengatur perpindahan barang, dan penyimpanan material dalam perjalanannya dari. Menurut burg, pengertian logistik adalah integrasi dari pengadaan, transportasi, manajemen persediaan, dan aktifitas. Dalam sejarah yunani dan romawi kuno. Pengertian, tutorial, dan interpretasi regresi logistik dengan spss.

Pengertian manajemen logistik— transcript presentasi:

Adalah serangkaian proses yang meliputi kegiatan perencanaan, pelaksanaan, hingga pengawasan terhadap suatu proses perpindahan baik barang/jasa, energi ataupun sumber. Apa sebenarnya pengertian logistik tersebut? Pengertian logistik adalah suatu ilmu pengetahuan / seni yang disertai dengan sebuah proses mengenai penyimpanan, penyaluran dan pemeliharaan serta. Pengertian logistik menurut para ahli. Pengertian logistik menurut para ahli : Logistik sendiri memiliki pengertian sebagai serangkaian proses dalam penyaluran, penyimpanan, pemeliharaan, serta penghapusan barang atau material dan juga informasi tertentu. Menurut saya, tugas seksi logistik yaitu membantu mempersiapkan alat pementasan dan bertanggungjawab atas barang yang kurang/tertinggal. Regresi logistik merupakan salah satu jenis regresi yang menghubungkan antara satu atau beberapa variabel independen. Pengertian distribusi dan logistik merupakan dua hal yang berbeda namun berkaitan erat. Dalam sejarah yunani dan romawi kuno. Logistics is the process of the planning, implementing, and controlling the flow and storage of raw materials. 2.2.1 fungsi perencanaan pengertian umum adalah proses untuk merumuskan sasaran dan menentukan langkah yang harus dilaksanakan. Pengertian logistik menurut sondang p siagian (2003), logistik adalah keseluruhan bahan, barang, alat dan sarana yang diperlukan dan dipergunakan oleh suatu organisasi dalam rangka pencapaian.

Menurut saya, tugas seksi logistik yaitu membantu mempersiapkan alat pementasan dan bertanggungjawab atas barang yang kurang/tertinggal. Logistics is the process of the planning, implementing, and controlling the flow and storage of raw materials. Pengertian distribusi dan logistik merupakan dua hal yang berbeda namun berkaitan erat. Secara umum pengertian atau definisi logistik adalah sebuah ilmu yang mencakup beberapa hal seperti penyimpanan, pemeliharaan, penyaluran dan juga penghapusan pada alat dan barang tertentu. Pada regresi logistik, jika variabel tak bebas memiliki dua kategori, maka disebut regresi logistik biner (binary persamaan regresi logistik sederhana untuk probabilitas terjadinya sukses memiliki bentuk.

Pengertian Tugas Dan Fungsi Kerja Dalam Organisasi Ipmanapadode Sby
Pengertian Tugas Dan Fungsi Kerja Dalam Organisasi Ipmanapadode Sby from 2.bp.blogspot.com
Pengertian logistik menurut para ahli. Dalam sejarah yunani dan romawi kuno. Dibawah ini merupakan pengertian logistik yang dikemukakan oleh beberapa para ahli, diantaranya sebagai berikut Logistik berasal dari bahasa yunani logos yang berarti rangsum, kata, kalkulasi, alasan, cara berbicara, dan orasi. Baik dalam manufaktur maupun industri. Suganda pada hakekatnya mencakup tiga pengetahuan dasar, yaitu : Tentang logistik, pengertian logistik, export , import , pertanyaan dalam logistik, jasa import door to door. Menurut burg, pengertian logistik adalah integrasi dari pengadaan, transportasi, manajemen persediaan, dan aktifitas.

Pengertian logistik adalah suatu ilmu pengetahuan / seni yang disertai dengan sebuah proses mengenai penyimpanan, penyaluran dan pemeliharaan serta.

Secara umum pengertian atau definisi logistik adalah sebuah ilmu yang mencakup beberapa hal seperti penyimpanan, pemeliharaan, penyaluran dan juga penghapusan pada alat dan barang tertentu. Apa sebenarnya pengertian logistik tersebut? Pengertian, tutorial, dan interpretasi regresi logistik dengan spss. Logistik sendiri memiliki pengertian sebagai serangkaian proses dalam penyaluran, penyimpanan, pemeliharaan, serta penghapusan barang atau material dan juga informasi tertentu. Pengertian logistik menurut para ahli. Dibawah ini merupakan pengertian logistik yang dikemukakan oleh beberapa para ahli, diantaranya sebagai berikut Logistik berasal dari bahasa yunani logos yang berarti rangsum, kata, kalkulasi, alasan, cara berbicara, dan orasi. Pengertian manajemen logistik martin proses yang secara strategic mengatur pengadaan bahan (pembelian, perpindahan. Pengertian logistik adalah suatu ilmu pengetahuan / seni yang disertai dengan sebuah proses mengenai penyimpanan, penyaluran dan pemeliharaan serta. Seksi logistik memiliki tugas dan wewenangnya antara lain : Donald walters logistik yaitu salah satu fungsi yang melibatkan perpindahan, mengatur perpindahan barang, dan penyimpanan material dalam perjalanannya dari. Pada regresi logistik, jika variabel tak bebas memiliki dua kategori, maka disebut regresi logistik biner (binary persamaan regresi logistik sederhana untuk probabilitas terjadinya sukses memiliki bentuk. Adalah serangkaian proses yang meliputi kegiatan perencanaan, pelaksanaan, hingga pengawasan terhadap suatu proses perpindahan baik barang/jasa, energi ataupun sumber.

Related : Pengertian Seksi Logistik : Pengertian logistik menurut para ahli :.